Standard Deviation Calculator
Please provide numbers separated by commas to calculate the standard deviation, variance, mean, sum, and margin of error.
Why Most Standard Deviation Results Are Wrong Before You Press Calculate
A standard deviation calculator does not merely crunch numbers—it forces a choice that determines whether your result describes reality or misleads you. That choice: population or sample. Select the wrong denominator, and your “precise” output carries systematic bias. For a dataset of 25 points, using N instead of N−1 understates true variability by roughly 4%. In quality control, that error can mask a process drifting toward failure. In finance, it can make a volatile asset appear safer than it is. The calculator’s real job is not computation but exposing the structural assumptions behind your data collection.
The Hidden Architecture: What Your Calculator Actually Computes
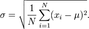
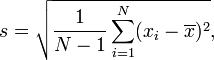
Standard deviation quantifies dispersion—the typical distance between individual observations and their mean. Yet this definition conceals two distinct mathematical objects with identical notation but divergent purposes.
| Symbol | Name | Formula | Use When |
|---|---|---|---|
| σ (sigma) | Population SD | √[Σ(xᵢ − μ)² / N] | You have every member of the group |
| s | Sample SD | √[Σ(xᵢ − x̄)² / (n − 1)] | You have a subset, inferring the rest |
The N versus n−1 distinction is not pedantic. It is Bessel’s correction, compensating for the fact that sample variance using the sample mean x̄ systematically underestimates population variance because x̄ is itself fitted to the same data. The correction inflates variance proportionally to 1/(n−1) instead of 1/n, with diminishing returns as sample size grows. At n = 2, the correction doubles your variance estimate. At n = 100, the adjustment is roughly 1%.
Most online calculators default to sample standard deviation. This is statistically conservative for scientific work but potentially deceptive if you genuinely possess a complete population—say, all quarterly returns for a fund since inception, or every defect measurement from a production run. The asymmetry: using sample formulas on populations understates risk; using population formulas on samples overstates precision. The former error is more common and more dangerous.
EX: Concrete Calculation Walkthrough
Consider these hypothetical monthly return percentages for a portfolio: 3, −2, 5, 1, −4, 2, 0, 6, −1, 4 (sample inputs for demonstration only).
Step 1: Compute the mean x̄ = (3 − 2 + 5 + 1 − 4 + 2 + 0 + 6 − 1 + 4) / 10 = 14 / 10 = 1.4
Step 2: Calculate squared deviations
| xᵢ | xᵢ − x̄ | (xᵢ − x̄)² |
|---|---|---|
| 3 | 1.6 | 2.56 |
| −2 | −3.4 | 11.56 |
| 5 | 3.6 | 12.96 |
| 1 | −0.4 | 0.16 |
| −4 | −5.4 | 29.16 |
| 2 | 0.6 | 0.36 |
| 0 | −1.4 | 1.96 |
| 6 | 4.6 | 21.16 |
| −1 | −2.4 | 5.76 |
| 4 | 2.6 | 6.76 |
Sum of squared deviations: 92.40
Step 3: Select denominator and compute
- Population SD (σ): √(92.40 / 10) = √9.24 = 3.04
- Sample SD (s): √(92.40 / 9) = √10.27 = 3.20
The 5.3% difference between these outputs is not rounding error. It is structural. Your calculator’s dropdown menu determines which number appears.
Edge Cases and Failure Modes That Break the Calculator
Standard deviation assumes interval or ratio data with approximately symmetric distribution. Violate these assumptions, and the calculator becomes a precision instrument measuring the wrong thing.
Sensitivity to outliers: A single extreme value dominates the squared deviations. In our example, replacing the −4 with −15 (a hypothetical market crash month) inflates sample SD from 3.20 to 6.37—nearly doubling it. The mean shifts to −0.5, rendering the original “typical” interpretation meaningless. For skewed financial returns or income distributions, median absolute deviation (MAD) often provides more stable inference.
Small-sample pathology: At n < 10, sample SD is a noisy estimator. The standard error of the standard deviation itself equals σ/√(2n), meaning with 8 observations, your SD estimate carries roughly 25% uncertainty. Reporting two decimal places is false precision.
Zero-variance traps: Identical inputs produce SD = 0. This is mathematically correct but analytically empty—it signals either perfect consistency or measurement resolution too coarse to capture variation. Before trusting that zero, verify your instrument’s granularity.
Connected Decisions: What to Calculate Next
A standard deviation output is rarely terminal. It feeds forward into tools and judgments that amplify or correct its limitations.
| If your SD will be used for… | Consider also calculating… | Because… |
|---|---|---|
| Risk-adjusted returns | Sharpe ratio (return / SD) | Raw SD ignores expected return; you need the trade-off |
| Quality control limits | Coefficient of variation (SD / mean) | Relative dispersion matters when means differ across batches |
| Confidence intervals | Standard error (SD / √n) | SD describes data; SE describes the estimate’s precision |
| Comparing two groups | Cohen’s d (mean difference / pooled SD) | Effect size requires standardization |
The calculator sits at a junction, not a destination. Entering data without specifying the subsequent analysis risks producing a number that answers no operational question.
The One Change to Make
Stop treating the population/sample toggle as a default to accept. Audit your data’s provenance before calculating. If you scraped every available record, use N and accept the tighter—but accurate—estimate. If you sampled, use n−1 and report the standard error alongside. The discipline is not mathematical sophistication but epistemological honesty: matching your formula to how the data entered your possession.
Informational Note
This guide explains calculator mechanics and statistical principles for educational purposes. It does not constitute investment, quality engineering, or professional statistical advice. Apply these methods to real decisions only after consulting appropriate domain expertise.
